首页
推荐
热点
财经
科技
娱乐
体育
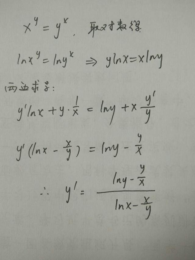
一阶导数怎么求?
一阶导数就是通常说的导数。例:
匿名回答于2022-07-01 01:54:46
请输入您的知识问答
相关知识问答
一阶线性和二阶线性的区别?
三阶魔方一阶公式?
奥迪a4l刷一阶的后遗症?
一阶矩阵例子?
ea111刷一阶利弊?
什么是一阶树脂二阶树脂?
一阶系统的性能指标是什么特点是什么?
如何求一阶导数?
一阶楼梯多少平方?
一阶系统的调整时间公式?