全心思齐网

cosz的泰勒公式是什么?

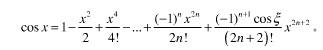
Cos函数的泰勒展开式:




泰勒公式是一个用函数在某点的信息描述其附近取值的公式。如果函数足够光滑的话,在已知函数在某一点的各阶导数值的情况之下,泰勒公式可以用这些导数值做系数构建一个多项式来近似函数在这一点的邻域中的值。泰勒公式还给出了这个多项式和实际的函数值之间的偏差。


泰勒定理开创了有限差分理论,使任何单变量函数都可展成幂级数;同时亦使泰勒成了有限差分理论的奠基者。泰勒于书中还讨论了微积分对一系列物理 问题之应用,其中以有关弦的横向振动之结果尤为重要。他透过求解方程 导出了基本频率公式,开创了研究弦振问题之先河。此外,此书还包括了他于 数学上之其他创造性工作,如论述常微分方程的奇异解,曲率 问题之研究等。


泰勒简介:18世纪早期英国牛顿学派最优秀代表人物之一的英国数学家泰勒(Brook Taylor), 于1685 年8月18日在英格兰德尔塞克斯郡的埃德蒙顿市出生。1701年,泰勒进剑桥大学的圣约翰学院学习。1709年后移居伦敦,获得法学学士学位。1712年当选为英国皇家学会会员,同年进入促裁牛顿和莱布尼兹发明微积分优先权争论的委员会。并于两年后获法学博士学位。


从1714年起担任皇家学会第一秘书,1718年以健康为由辞去这一职务。1717年,他以泰勒定理求解了数值方程。最后在1731年1 2月29日于伦敦逝世。

匿名回答于2021-03-16 06:34:11


相关知识问答